ChemViz

Lab Activities

Hardness (and Softness):


Home

Ionization Energy

Ionization Energy Main Page

Students

  • Introduction
  • Objectives
  • Background Reading
  • Procedure
  • Questions
  • Further Work
  • References/Support Materials

    Teachers

  • Additional Background
  • Materials
  • Standards
  • First year chemistry curriculum concepts
  • Second year chemistry curriculum concepts

    Readings

  • Overview
  • Atomic Orbitals

    Lab Activities

  • Z-matrices
  • Basis Sets
  • Geometry Optimizations
  • Ionization Energies

    Support Materials

  • Interactive Tools
  • Glossary of Terms
  • Quick Guide to DISCO Output File

    Related Links

  • ChemViz
  • Computational Chemistry
  • SUCCEED's Computational Chemistry

    Developers' Tools

  • What's New?
  • Discussion Board
  • Team Members
  • Email the Group


  • Contact Webmaster

  • Hardness and softness are terms used to help describe various elements' likeliness to bond. The periodic table is split into two main types of atoms, polarizable and unpolarizable. (Some of you may need to review polarity.) Polarizable atoms form strong bonds with other polarizable atoms whereas unpolarizable atoms form strong bonds with other unpolarizable atoms. Eventually, polarizable atoms have become known as "soft" atoms and unpolarizable atom as "hard". This means that when soft-soft atoms bond it is normally a covalent bond and when hard-hard atoms bond it is normally ionic.

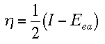
    A chemist by the name of R.G. Pearson created a means to calculate the absolute hardness by using the frontier orbitals. He determined that the absolute hardness equals the one half the difference between the ionization energy and the electron affinity. Notice that the equation below is very similar to the electronegativity equation for the Mulliken scale. The only difference is the subtraction.

    Hardness is dependent on the closeness of the frontier orbitals. When the HOMO and LUMO are close together, the absolute hardnes is low (because the energy difference between the two is very low) and the atom/molecule can easily share orbitals to create covalent bonds. When the frontier orbitals are far apart, their difference in energy is large. Typically, the ionization energy in the LUMO is high in this situation. With these atoms/molecules, the absolute hardess is high and they are not willing to share covalent bonds. Instead, they form ionic bonds.

    Some reference charts are given below for your convenience:

    Absolute Hardness Reference
    Atom1st Hardness2nd Hardness
    H6.43 
    Li2.3935.12
    Be4.567.84
    B4.01 
    C5.00 
    N7.23 
    O6.08 
    F7.01 
    Na2.3021.08
    Mg3.9032.55
    Al2.7745.77
    Si3.38 
    P4.88 
    S4.14 
    Cl4.68 
    K1.9213.64
    Ca4.019.52
    Ga2.917
    Ge3.4 
    As4.5 
    Se3.87 
    Br4.22 
    Rb1.8511.55
    Sr3.716.3
    In2.813
    Sn3.05 
    Sb3.80 
    Te3.52 
    I3.69 
    Cs1.7110.6
    Ba2.9 
    Tl2.910.4
    Pb3.53 
    Bi3.74 

     HardBorderlineSoft
    AcidsH+,Li+, Na+, K+Fe2+, Co2+, Ni2+Cu+, Ag+, Au+, Tl+
       Hg+
     Be2+, Mg2+, Ca2+, Cu2+, Zn2+, Pb2+ Pd2+, Cd2+, Pt2+, Hg2+
     Cr2+  
    BasesF-, OH-, H2O, NH3NO2-, SO32-, Br-H-, R-, CN-, CO, I-
     CO32-, NO3-, O2-N3-, N2, SCN-, R3P, C6H6
     SO42-, PO43-, ClO4- R2S

    Back


    Developed by
    Shodor logoThe Shodor Education Foundation, Inc.
    in cooperation with the
    National Center for Supercomputing Applications

    © Copyright 1999-2000 The Shodor Education Foundation, Inc.