Objective 3.09
Thinking Skill: Applying
icon to show signed version of the paragraph      icon to show signed version of the paragraph   
Use systems of linear equations or inequalities in two variables to solve problems. Determine the solution by: a) Graphing. b) Substitution. c) Elimination.

Question: 33
icon to show signed version of the paragraph      
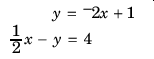
Solve: equations


 

    

icon to show signed version of the paragraph A   (-1, 3) B   (1, -1)

C  (2, -3) D  (4, -2)

Questions (Goal 3)


1)   2)   3)   4)   5)   6)   7)   8)   9)   10)   11)   12)   13)   14)   15)   16)   17)   18)   19)   20)   21)   22)   23)   24)   25)   26)   27)   28)   29)   30)   31)   32)   33)   34)   35)   36)   37)   38)   39)   40)   41)   42)   43)   44)   45)

    
return to main menu link