![]()
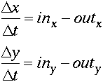
Dr. Holly Hirst Predator-Prey ModelsNow we want to look at two species that interact: x is the prey and y is the predator. Now we have two equations instead of one, each with increase rate and decrease rate terms.
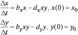
So how should we model these four terms? Here are some ideas -- in historical order. Original Lotka-Volterra Model: (Volterra 1927) Volterra set the prey (x) increase to simple Malthusean and had the predator (y) affect the prey through the death term. He set the birth term of the predator proportional to both the predators present and the prey present, since predators would have a hard time reproducing without food.
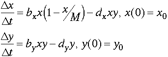
Suppose the predator species is wolves and the prey species is moose as on Isle Royale in Lake Superior. Click once on the picture to see an enlarged, more readable version. Notice that the populations cycle, with the predator peaking right after the prey. Competition in the Prey (1930s): The primary objection to the LV Model was that the prey (x) would increase without bound if the predators died out. What if competition among the prey is also incorporated?
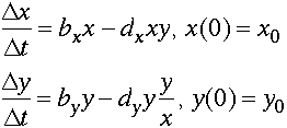
Click once on the picture to see an enlarged, more readable version. Notice that the populations cycle, with the predator peaking right after the prey, but the cycles die off, approaching a stable population. Leslie (1950s):
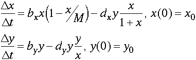
Leslie fixed these by removing the prey dependency in the birth of the predators and changing the death term for the predator to have both the number of predators and the ratio of predators to prey.
Click once on the picture to see an enlarged, more readable version. Notice that the populations cycle, with the predator peaking right after the prey, but the cycles die off even more quickly, approaching a stable population. May (1960s): The prey death term implies that for a given y, the number of prey eaten is proportional to the number of prey present. This implies that predators are never not hungry. He fixed this by adding a piece to the prey death that would control this term.
Click once on the picture to see an enlarged, more readable version. Notice that the populations cycle, with the predator peaking right after the prey; again the cycles die off, approaching a stable population.
last modified, June 18, 1998 - H. Hirst WebMaster@shodor.org © Copyright 1998 The Shodor Education Foundation, Inc. |